001. 공통수학1 전교1등 프로젝트 강의를 시작하며 ...
- 공통수학 1
- 2024. 7. 7. 16:03
- 현 중3 학생들을 대상으로 공통수학1 강의를 어제부터 시작하였습니다.
- 현재 두 명의 학생이 있는데, 이 학생들을 내년에 각각 각 학교에서 전교 3등 안에는 들게 해야겠다는 목표로 진행을 시작하고 있습니다.
- 이 두 학생들이 성실한 학생들이라 ... 가능할 것 같습니다.
- 공부란 다들 아시겠지만, 의지와 성실함만 있으면 어떤 목표든 가능합니다.
- 예체능과는 달리 적어도 공부에 관한 한 천부적 재능 등은 저는 믿지 않습니다.
- 이 블로그를 통해서
- 전교 1등 프로젝트를 시작합니다.
- 꾸준히 지켜보시는 것도 intriguing ...

앞부분에서 가장 중요한 문제입니다.
'상수항을 포함한 모든 항의 계수들의 총합'을 구하시오. 라는 표현을 보자마자 ... 라는 생각이 떠올라야 합니다.


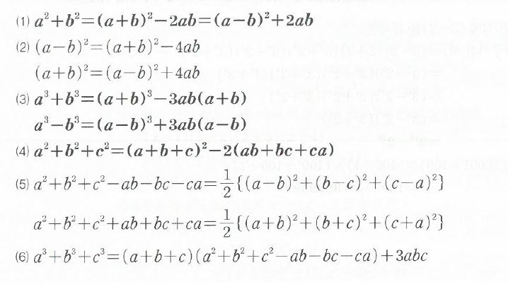
곱셈 공식과 곱셈 공식의 변형입니다.
물론 암기해야 해야 합니다.
산수에 구구단이 있다면, 수학에는 곱셈 공식이 있습니다.
그 정도로 필수적인 공식들입니다.
단, 단번에 암기시키지는 않고, 학원에 올 때마다 지속적으로 물어보고 암기하고 하면 어느새 다들 암기하게 된답니다.
이 곱셈 공식을 자칫 섣부르게 시킬 경우, 역효과로 수학을 너무 어렵게 느끼고 포기하게 되기 떄문입니다.

그래서 일단 곱셈 공식은 건너 뛰고 다항식의 나눗셈과 ...

조립제법을 가르쳤습니다.
조립제법은 고3 미적분 선택 학생들도 자주 쓰는 것으로,
너무 중요한 것이므로, 차근차근 익히도록 해야 합니다.
다항식의 나눗셈과의 차이는 ... 입니다.

다항식을 나눈다는 것은 결국 '근'으로 나누는 것이므로,
근이 같다면 나머지에는 영향을 미치지 않습니다.
계수에 따라 몫의 모양이 달라지는 것뿐입니다. 라고 ... 이해를 해야 하는 중요한 사항입니다.
객관식 시험에 자주 등장하는 문제입니다.
이렇게 공통수학1 의 첫 시간 수업이 끝났습니다.
개념원리 32페이지까지 진도를 나갔고, 여기까지 숙제를 냈고,
연습문제는 학생들과 함께 다음 시간에 풀 것입니다.
공통수학1과 공통수학2를
개념원리처럼 쉬운 책으로 개념을 신속하게 한 번 끝내고,
두 번째는 RPM으로 신속하게 또 끝내고,
세 번째부터는 일품 + 고쟁이 + 각 학교 기출문제들을 풀면서 실전 감각을 키울 것입니다.
첫 시간이었습니다.
계속 연재하겠습니다.
우리 아이들이 각 학교에서 전교 1등을 하는 순간까지 많은 응원 부탁드립니다.
'공통수학 1' 카테고리의 다른 글
| 공통수학1 다항식의 연산 rpm 오답노트 (0) | 2024.10.05 |
|---|---|
| 공통수학1 RPM 오답노트 01 (0) | 2024.07.13 |
| 수학(상) 고난도 올림포스 원방 오답 노트 (0) | 2024.06.18 |
| 수학(상) 고난도 올림포스 평면좌표 오답 노트 (0) | 2024.06.18 |
| 수학(상) 고난도 올림포스 여러가지 방정식과 부등식 오답 노트 (0) | 2024.06.18 |
